1.jpg
2.jpg
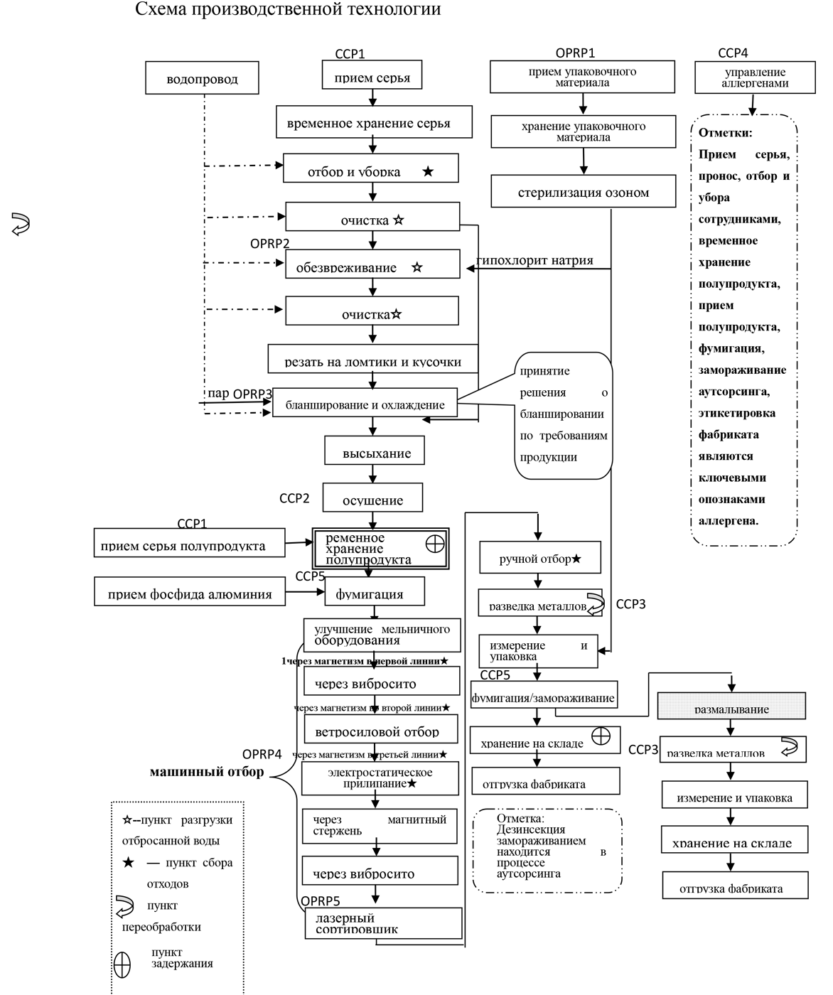
1.Хорошая сельскохозяйственная практика1.GAP.jpg2.Обработка сырья2.Raw material procession.png
3.Очистка3.Washing.jpg4.Резка4.Cutting.jpg
5.Обезвоживание5.Dehydrating.jpg6.Обезвоживание6.Dehydrating.jpg7.Ручной отбор7.Hand selection.jpg8.Воздухоразделитель и вакуумный селектор8.Air seperator and vacuum selector.jpg

9.Color sorter

5.jpg

10.Лазерный сортировщик9.Laser sorter.jpg

11.X Ray detector

3.jpg

12.Металлоискатель10.Metal detector_????_????.jpg
13.Упаковка11.Loading.jpg